徠卡機器人全站儀助力三等水準測量
一、前言
目前高程測量方法一般分為幾何水準測量、GPS水準測量和三角高程測量三大類。采用傳統水準的方法測定點與點之間的高差,所得到的地面點高程精度較高,普遍用于建立國家高程控制點及測定高等級地形控制點的高程。對于地面高低起伏較大的地區,采用這種方法測定地面點的高程進程緩慢,有時甚至非常困難。

精密三角高程測量在丘陵地、山地、高山地區相比常規水準測量,因架站少、架站自由、靈活、快速,不需要量測儀器、棱鏡高,傳遞高程優勢顯著,能大大降低外業勞動強度,但受限于全站儀的硬件性能,此前一直未能在生產中實際應用;徠卡測量機器人的出現,打破了三角高程測量不能代替高精度水準測量的束縛,徠卡自動全站儀多測回自動觀測、自動識別限差,給野外測量帶來很大的便利,尤其夜間觀測成果更佳。
二、精密三角高程測量技術的可行性研究

作業流程:
檢測棱鏡互差,并檢核棱鏡的加裝是否符合要求,同時還要對全站儀進行組合檢校;
在起點布設棱鏡桿,在距離起點較近的一點(轉點1),布設主站;
主站在轉點1依次觀測棱鏡桿低棱鏡(①)和棱鏡桿高棱鏡(②);
主站不動,在轉點2架設輔站。依次進行如下觀測:后測站觀測低棱鏡(③)、前測站觀測低棱鏡(④)、前測站觀測高棱鏡(⑤)、后測站觀測高棱鏡(⑥);
主站換站至轉點3,輔站不動。依次進行如下觀測:后測站觀測低棱鏡(⑦)、前測站觀測低棱鏡(⑧)、前測站觀測高棱鏡(⑨)、后測站觀測高棱鏡(⑩);
輔站換站,依次循環進行高程的傳遞至接近末點處;
在最后的轉站,主站依次觀測末點高低棱鏡。
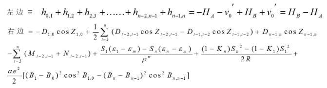
數據模型:

限差

三、項目驗證
為了驗證精密三角高程測量的精度, 內蒙古自治區測繪院使用徠卡TCRA1201全站儀、徠卡TS30全站儀及徠卡TS60全站儀等檢測了很多段用數字電子水準儀測得二等水準路線。其結果如表所示, 精密三角高程測量是完全可以達到二等水準測量的要求。

四、經驗積累、廣泛應用
自2010年5月以來,內蒙古自治區測繪院在呼和浩特、包頭、鄂爾多斯、巴彥淖爾市、烏蘭察布市、赤峰市已成功的使用徠卡自動全站儀精密三角高程測量代替二等水準測量1700多千米;在烏蘭察布市、呼倫貝爾市、興安盟、赤峰市等地方成功的使用徠卡自動全站儀精密三角高程測量代替三等水準測量4000多千米。

經過數年的研究,不同時間,不同區域,所測得的數據基本都能滿足國家二等水準測量規范的要求。徠卡自動全站儀搭配三角高程測量軟件、計算軟件和正確的測量方法,達到了目的和效果。同時我們也積累了諸多的外業經驗:
盡可能使用無伸縮腳架觀測,測段起、末水準點上,對中桿要放穩,保持高度不。
對向觀測時,如一站觀測時間過長,應重測對向觀測。
白天平均氣溫超過26℃時,在保障安全的作業前提下,最好在夜間作業,提前踏勘、選定觀測路線和測站點,更能顯著提高作業效率。
白天作業視線長度不宜超過800米,經過大量測量數據證明500米左右為最佳觀測距離。
白天作業時間遵照水準測量規范上的要求,由于在陽光直射和地面溫度較高,熱氣浪大時大氣折光影響較大。
自動照準觀測,視場內不能有遮擋物在棱鏡前。
視線不能通過煙火上空,觀測目標背后不能有大面積反光地物(蔬菜大棚),大面積水域。
在ATR自動照準時盡量避免陽光直射,由于正對太陽時,在自動照準光路中會有噪聲,從而影響自動照準的精度。

五、總結
傳統二、三等水準在山地、高山的測量中,需要耗費大量的人力、物力和財力,且效率極低。以傳統水準測量為例,在山地連測二、三等水準,單程連續觀測前后視距5-10米,一站一站連測,一個組一天連測3-5公里左右,依據財政部、國家測繪局2009 年頒布的《測繪生產成本費用定額》計算,100個水準點需要聯測1000千米。若對這些點進行二等水準觀測,100個水準點觀測的費用為207萬元,一個組5人需要400天完成。而同樣任務利用徠卡自動全站儀精密三角高程聯測二等水準,一個組一天聯測8-10公里左右,200天以內就可以完成1000千米的水準測量,節省大量的人力、物力。應用徠卡自動全站儀精密三角高程代替二、三等水準測量在困難地區聯測,可產生巨大的經濟效益。
徠卡自動全站儀精密三角高程測量具有傳遞高程靈活、方便、受地形條件限制較少等優點,徠卡測量機器人超高的測角測距精度,為精密三角高程測量提供了硬件保障,目前徠卡自動全站儀精密三角高程測量在大地測量、工程測量中得到了廣泛的應用。
更多相關
全站儀到底能不能“歪著”測?
通常,若是我們需要全站儀測量準確的結果,需要滿足如下條件:我們可以從上面的結構中看出,全站儀的測量都是以重力鉛錘方向為Z軸建立坐標系統的。但是在實際的測量作業中,我們也會遇到一些“歪著”的測量場景,給...
徠卡全站儀在蘇州地鐵4號線自動化監測中的方案應用
吳江太湖新城軌交4號線松陵大道綜合交通樞紐項目即將進入到全面開啟階段,是蘇州市2018年度城建交通重點項目建設計劃。總用地面積約51900㎡,總建筑面積約25萬㎡,總投資約31.6億元。樞紐地上3...
科力達KTS-552智能安卓全站儀,突破傳統全站儀單一作業模式!
DOS、Windows、智能Android 每一次產品的迭代 都是對全站儀的再次詮釋 機械設計和科技合二為一 勾勒出智慧測量新藍圖 見所未見,未來已來 共享智能測量新時代 科力達新品...
徠卡TZ05全站儀(手動型)全新發布!
徠卡測量系統經過十年磨礪,新一代手動型全站儀徠卡TZ05全新發布!徠卡TZ05全站儀延續經典,銳意創新,更高的測距精度、更強的續航能力、更優異的操作系統、更高的防護等級代表更優越的儀器性能,更多樣...
CAD視口中的坐標系不見了!怎么辦?
當我們在打卡CAD時,左下角總會有一個坐標系,但是,如果我們的坐標不見了要怎么辦呢?今天,就來教大家,如何調出坐標系。CAD中的視口是一個二維的窗口,用于顯示三維模型或布局中的部分內容。視口本身并沒有...
新疆首次舉辦測繪地理信息科技成果應用大會
烏魯木齊6月21日,新疆維吾爾自治區測繪地理信息局聯合中國測繪科學研究院在烏魯木齊市舉辦了2017年“絲綢之路”測繪地理信息科技成果應用大會,一系列測繪地理信息科技成果將在新疆應用。 此次大...
徠卡全站儀大壩自動化監測方案
一、項目概況 福建省某水力發電廠壩長約400米,壩高約70米,年發電量八億多千瓦時,2021年該電廠投入建設大壩外觀自動化監測系統,采用徠卡TM50全站儀+GeoMoS自動化監測方案,實現大壩監...
效率提升40倍,北斗+AI定義道路養護新標準
新基建背景下,圍繞AI打造的新應用不斷涌現,AI道路巡檢便是其中之一。 千尋位置依托北斗高精度定位、地理信息采集、視頻圖像對比識別、公路專題地圖三維可視化等技術手段,打造AI道路巡檢解決方案,...











環球測繪微信